酚醛树脂具有优异的热稳定性,但是固化时需加热、加压,反应有副产物水产出,因此存在着气泡残留,有固化体积收缩大的弊病,再加上酚醛树脂耐碱性差,限制了它的应用面。双酚A型环氧树脂可在常压下室温固化,体积收缩小而且既耐酸,又耐碱,但是热稳定性较差。以线型酚醛为聚合物骨架进行环氧化生成的酚醛环氧树脂兼备了酚醛树脂的高热稳定性及环氧树脂的高反应性。 双酚A型环氧树脂每个分子只具有2个环氧基,而酚醛环氧树脂每个分子平均具有3.6个环氧基,因此固化后可达到高交联密度,所以在耐热性、机械强度、耐化学品性能上均优于双酚A型环氧树脂。 线型酚醛环氧树脂的合成需经过两大反应步骤。即先合成线型酚醛树脂(称novolak树脂),再经环氧化最后生成所需的产品。
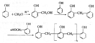
一、线型酚醛树脂的合成 线型酚醛树脂是由苯酚和甲醛在酸性催化剂存在下经过缩聚反应耐而生成的热塑性树脂,其聚合度在5左右,分子量在700左右的树脂最适宜于制造粉末涂料用。决定树脂分子量的关键是苯酚与甲醛的摩尔比以及所用的催化剂。其分子量和苯酚、甲醛摩尔比的关系见图2-1,苯酚用量增加则会使树脂分子量下降。在缩聚反应中催化剂的酸、碱性对反应历程有很大的影响,在酸性催化剂存在下苯酚和甲醛所生成的羟甲基苯酚很不稳定,彼此之间与苯酚很快地发生缩聚反应,生成的聚合链中不存在羟甲基苯酚的线型聚合物。酸性催化剂常用的是硫酸、盐酸、草酸,从催化的能力来看硫酸最强,盐酸次之,最弱为草酸,但是以对色泽的影响来看则相反,用草酸作催化剂所制得的树脂其色泽最浅。 线型酚醛树脂的反应历程可用下式表示:
线型酚醛树脂工艺流程见图2-2。
工艺过程。将配方量的苯酚、水加入反应釜中,在搅拌下使之溶解。再加入催化剂,升温到70℃左右,滴加甲醛,温度保持不超过75℃,约2h内加完,再在75~80℃维持4h。反应完毕后用温水洗至中性,分去水分。通入水蒸气,蒸去过量的苯酚,最后脱去水分,得到酚醛树脂。 二、环氧化反应 线型酚醛树脂和过量的环氧氯丙烷在催化剂和氢氧化钠的存在下,经过醚化和环氧化反应,再去除水和氯化钠,即可得到线型酚醛环氧树脂。 环氧化反应工艺流程见图2-3。 |




