环氧树脂的环氧基和(甲基)丙烯酸开环酯化后生成的(甲基)丙烯酸环氧酯又称为乙烯树脂。它既保持了环氧树脂固化收缩率低、耐化学品性、电绝缘性能优异的特点又能如不饱和聚酯那样可以在过氧化物引发下室温固化。另一难能可贵的性能是能在紫外线辐射下快速光固化。 从理论上来看任何环氧树脂都可以制成(甲基)丙烯酸环氧酯,但目前有工业应用价值是双酚A型,热塑性酚醛型、脂环型三大类。 一、(甲基)丙烯酸环氧酯合成路线
(一)(甲基)丙烯酸和环氧树脂直接酯化反应
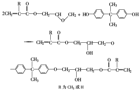
(二)(甲基)丙烯酸缩水甘油酯和双酚A反应
这条合成路线是制备高纯度低分子量(甲基)丙烯酸环氧酯的方法。 (三)(甲基)丙烯酯羟乙(丙)酯和环氧树脂的醚化反应
这条合成路线是制备韧性树脂的方法。 以上3条合成路线以第一条合成路线最为简便和经济,因此工业生产主要采用这种方法。 二、酯化反应催化剂及反应动力学 (甲基)丙烯酸和环氧树脂反应人们熟知的催化剂为叔胺,如苄基二甲胺,但这类催化剂除了能对环氧基和羧酸起催化作用外,同时还能催化环氧树脂开环自聚反应,因此催化选择性差得到的酯化产物贮存不稳定,使(甲基)丙烯酸环氧酯的制造和应用都受到了限制。曹万荣,高俊应等人对两种催化剂的效果及反应动力学进行了研究。 (一)有机金属络合物的催化作用 (1)催化剂的合成[二(2,4-戊二酮基)合铬]2,4-戊二酮与氯化铬以2:1(摩尔比)配成水溶液,在40~80℃下反应1h,反应中保持体系pH值5~7。得到的结晶状粗品用去离子水洗涤2次后,结晶体在石油醚中重结晶,精品在60~70℃真空干燥1h,得到紫红色片状结晶的Cr(AcAc)3,得率为86%。将Cr(AcAc)3作元素分析结果见表3-26。
(2)丙烯酸环氧酯合成实验在装置有电动搅拌、温度计和冷凝器的三口瓶中将环氧树脂与丙烯酸按摩尔比1:1(全酯化)或2:1(半酯化)投入,再加入表3-27所列出的催化剂及少量阻聚剂(如对苯二酚),加热到反应温度;定时抽样用NaOH-乙醇标准溶液测定酸值,计算出丙烯酸转化率。详见表3-27。 从表3-27可以看出酯化反应在无催化剂存在下反应,即使在120℃下进行了3.5h,转化率仅为44.9%。Cr(AcAc)3比苄基二甲胺有更好的催化效果,对于酯化反应较困难的甲基丙烯酸与溴化双酚A环氧树脂的催化效果还是很好的。用0.1%~0.2%(质量分数)的Cr(AcAc)3在120℃反应3.5h转化率就达到了95%以上。
(3)反应机理探讨从丙烯酸与E-44环氧树脂等摩尔酯化反应的丙烯酸转化率(P)与反应时间(f)关系曲线中(见图3-12),我们看到了一个有意义的结果,在转化率低于50%的反应前期P-t呈线性关系,即酯化反应为速度与反应物浓度无关的零级反应,推测催化酯化反应按如下机理进行:
Cr(AcAc)3表现Lewis酸的性质,首先以某种形式与丙烯酸形成络合物(Ⅰ)[反应式(3-1)]。(Ⅰ)的质子进攻环氧树脂中的环氧基进行亲电加成[反应式(3-2)]。加成物(Ⅱ)因戊二酮基对铬离子的络合及其中CH2=CH-COO-的存在而倾向于形成酯化产物(Ⅲ)[反应式(3-3)]。 反应前期,由于环氧基活性较高,浓度大,络合物(Ⅰ)表现很高的开环活性。一旦生成就立即被反应掉,可以认为反应期间[Ⅰ]≈0。由于丙烯酸浓度相对于催化剂浓度为大大过量,[Ⅰ]的浓度又很低,反应体系中Cr(AcAc)3将被及时转化。其浓度相对于初始浓度[Cr(AcAc)3]0,及[Ⅱ]的浓度为很小,可以认为:
于是酯化产物的生成速率
因此,在Cr(AcAc)3催化下的丙烯酸与环氧树脂的酯化反应在转化率低于50%时表现零级反应的性质。 大多数环氧树脂分子中含有两个环氧基。第一个环氧基参与酯化后;另一个环氧基的活性因位阻等因素的影响而降低,变得不那么容易受(Ⅰ)进攻而打开。这时环氧基浓度的变化就会通过影响反应式(3-3)来抑制产物(Ⅲ)的生成速率;另外,到了反应末期丙烯酸的浓度已经降到不能认为充分大,从而将影响到反应式(3-2);同样,反应末期不充分高的环氧基浓度也成了影响(Ⅰ)及时转化的一个因素。[Cr(AcAc)3]及[Ⅰ]越来越不能忽略,因此,到了反应后期酯化速率将受到反应物浓度变化的影响,反应不再是零级反应,P-f自然不再呈线性。 (二)季铵盐的催化作用及反应动力学 (1)丙烯酸与四溴双酚A环氧树脂酯化反应转化率的测定在装有电动搅拌、回流冷凝器、温度计的四口烧瓶中,加入12.05g四溴双酚A环氧树脂(环氧值为0.136mol/100g),12.05g二甲苯使之溶解再加入3%的四丁基溴化铵,升温到90℃加入1.134ml甲基丙烯酸(与环氧基等摩尔比),定时取样1ml溶于5ml丙酮中,用0.1mol/L KOH标准溶液进行电位滴定求出P/f关系(见图3-13)及作出ln(c0/c)对反应时间t的图,见图3-14。
c0为MAA起始浓度;c为t时的MAA浓度。 从图3-14可以看出,α-甲基丙烯酸与环氧基的加成反应对甲基丙烯酸来说是一级反应。为此我们可以推断反应是以下历程进行的:
如果羟基负离子与环氧基的反应以及氧负离子得到质子形成羟基的速度是非常快的,且反应式(3-6)、反应式(3-7)是处在稳态,即
式中[COOH]为体系羟基的浓度,
这就是说反应对甲基丙烯酸来说是一级反应。表3-28是在几个不同温度下该反应的反应速率常数和丙烯酸与双酚A型环氧树脂的反应速率常数。
从表3-28可以看出,在相同温度下双酚A型环氧树脂与丙烯酸的反应速率常数比四溴双酚A 型环氧树脂与甲基丙烯酸的反应速率常数高5~8倍之多,且前者的速率常数对温度的依赖性较小。这里不仅是酸分子中甲基的影响,更主要的是四溴双酚A分子上的溴原子空间位阻的影响,这也是四溴双酚A与环氧氯丙烷反应速率较慢及高分子量的环氧树脂难于合成的原因。 (2)催化剂对反应的影响从前面的动力学讨论可以看出四溴双酚A型环氧树脂与丙烯酸的反应速率是比较慢的,要加快反应单从提高反应温度效果不会太好,比较好的方法是选择合适的催化剂。图3-15、图3-16是不同催化剂及不同催化剂用量对反应速率影响。
由图3-15、图3-16可以看出加入催化剂与不加催化剂在反应速率上有相当大的差异,其中四丁基溴化胺的催化剂效果最好。当加入这种催化剂后,反应2h,甲基丙烯酸的转化率可超过80%,而不加催化剂的转化率不足30%。通过红外光谱分析可以证明,反应初期环氧基在910cm-1处有一个明显的吸收峰,而在110℃反应3h后这一峰就完全消失。这所报道的用叔胺作为催化剂在140~150℃反应,反应温度可降低30~40℃,且由于反应温度降低,减少了脱溴反应,提高了产品质量。 从催化剂用量来说,催化剂用量增加反应速度加快,但一般用最为0.5%~1%也就 可以了。 三、(甲基)丙烯酸环氧酯的改性 欲制得性能不同的(甲基)丙烯酸环氧酯,方法之一是选用不同类型的环氧树脂为基材,但在来源最广、价格最廉的双酚A型环氧树脂的基础上,通过各种改性手段制取改性(甲基)丙烯酸环氧酯更为化学家提供了发挥分子设计才能的舞台。 改性的方法可以是制成(甲基)丙烯酸环氧酯后,利用环氧基开环派生出的2个仲羟基进行反应。还有一种改性方法是采用不同结构的多元酸或酸酐和(甲基)丙烯酸共酯化,或预酯化后再和(甲基)丙烯酸反应。 左郁芹在已制成的(甲基)丙烯酸树脂的基础上,研究了甲苯二异氰酸酯(TDI)和仲羟基的化学反应,评价了基团含量与耐腐蚀性、耐热性之间的关系。
(甲基)丙烯酸环氧酯与TDI的反应如下式: 这种用TDI改性后的树脂和不饱和聚酯一样加入30%(质量分数)的苯乙烯成为树脂溶液,改性前后树脂基团含量变化见表3-29。 从结构式和表3-28中不难看出:TDI改性后的丙烯酸环氧酯含有更多的苯环结构。因此也具有较高的不饱和双键,该树脂交联固化后,可形成坚韧、密实的网状结构,赋予固化产物更好的耐热性和机械强度。
TDI改性后的树脂还引进了一定数量的氨酯键( 体积庞大的苯环结构多分布在酯键附近,对酯键起到了屏蔽作用,提高了耐化学品性。 采用不饱和酸酐、饱和长碳链二元酸、取代部分(甲基)丙烯酸以制取不同的改性树脂。根据目的可选择以下几种酸酐或二元酸(见表3-30),单独或共酯化。
|





















